甲苯和氯气在光照条件下,是甲基取代反应氯甲苯:CH3-C6H5+Cl2=Cl-CH2-C6H5+HCl。
甲苯和氯气在催化剂(氯化铝)条件下,是苯环取代反应:CH3-C6H5+Cl2=Cl-C6H4-CH3+HCl。
甲苯在空气中,只能不完全燃烧,燃烧火焰黄色,甲苯的熔点为-95 ℃,沸点为111 ℃,甲苯带有一种特殊的芳香味,在常温常压下,是一种无色透明的液体,甲苯几乎不溶于水,可以和二硫化碳,酒精,乙醚以任意比例混溶,有很好的溶解性。
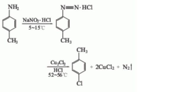
①重氮化法:用盐酸和对甲基苯胺,加入亚硝酸钠溶液,使其发生重氮化反应,温度维持在0~5℃,时间约30min,重氮化反应完成后,将其加入到搅拌的氯化亚铜溶液中,逐渐升温到室温,在室温下搅拌2.5~3h,再加热到60℃,该反应物逐步分解成为氮气和对氯甲苯,然后用水蒸气蒸馏,收集对氯甲苯与水的混合液,进行分层,有机层用酸洗涤,再用水洗涤,干燥,进行蒸馏,收集158~162℃馏分为对氯甲苯,收率约70%~79%。反应方程式为:
②以三氯化铁为催化剂进行苯环氯化,生成一氯甲苯氯化液,该氯化液用氮气赶去余气和氯化氢,再进行粗蒸,得到对氯甲苯和邻氯甲苯的混合物,其对、邻比随着催化剂和反应条件不同而不同,一般对、邻比为55∶45。反应方程式为:
CH3-C6H5+Cl2=Cl-CH2-C6H5+HCl
1、甲苯和氯气在光照条件下,是甲基取代反应。
2、甲基取代反应:
①甲基化反应有机化合物分子中的氢被甲基(-CH3)取代的反应。
②有机化合物分子中的氢被甲基(-CH3)取代的反应。
③例:
苯与卤甲烷在三氯化铝等催化剂作用下可发生甲基化反应生成甲苯。由于甲苯比苯更易反应,因此一般难停留在一取代阶段,往往进一步甲基化,生成多甲基苯。
醇和酚羟基中的氢可被甲基取代,生成甲基醚,用此方法可保护羟基。
最常用的甲基化试剂是碘甲烷和硫酸二甲酯。
胺与卤甲烷反应,氮上的氢被甲基取代,并且可进一步甲基化,直至彻底甲基化生成四级铵盐。
参考资料
:://baike.baidu.com/item/%E7%94%B2%E5%9F%BA%E5%8C%96%E5%8F%8D%E5%BA%94/8510973?fr=aladdin
有机溶剂的危害及相关控制标准
有机溶剂可按理化特性、毒作用特点或化学结构进行分类,化学结构相近的同类有机溶剂,其毒作用性质基本相似,如卤代烃类多是肝脏毒物,而带有醛基的有机溶剂一般均具有刺激作用。有机溶剂的基本化学结构为脂肪烃类(aliphatic hydrocarbons,如己烷)、脂环烃类(alicyclic hydrocarbons,如环己烷)和芳香烃类(aromatic hydrocarbons,如苯、苯乙烯),在此基础上,与不同的化学取代基团结合形成不同的有机溶剂。取代基团可以是乙醇基(alcohols,如甲醇、异丙醇)、卤素(halogens,如三氯乙烷)、酮基(ketones,如丙酮、甲基异丁基酮)、脂肪族二元醇类(glycols,如乙二醇)、酯(esters,如甲酸甲酯、乙酸甲酯)、醚(ethers,如乙醚、二氧六环)、羧基(carboxylic acids,如乙酸、丙酸)、胺基(amines,如丁胺、环己胺)和酰胺基(amides,如二甲基甲酰胺)。此外,有机溶剂还包括石油馏出物(petroleum distillates,如溶剂汽油、煤焦油精)和混溶溶剂类(miscellaneous solvents,如二甲基甲酰胺、二甲基亚砜)。在工业生产中较为常见的有机溶剂有苯、甲苯、二甲苯、溶剂汽油、二氯乙烷和四氯化碳等。
有机溶剂产生的毒害作用多样。几乎所有的有机溶剂都是原发性皮肤刺激物,对皮肤、呼吸道粘膜和眼结膜具有不同程度的刺激作用;能引起中枢神经系统的非特异性抑制、周围神经疾患和全身麻醉作用。其中有些有机溶剂可特异性地作用于周围神经系统、肺脏、心脏、肝脏、肾脏、血液系统和生殖系统,造成特殊的损害,有的甚至具有致癌或潜在的致癌作用,如氯乙烯在动物实验中可引起DNA烷基化,对沙门氏伤寒杆菌有致突变作用,可引起大鼠和小鼠的乳腺癌、肝癌等癌症,在职业接触人群中,可导致肝血管肉瘤;苯可致大鼠和小鼠的乳腺癌、皮肤癌和口腔癌,对人可造成染色体畸变、白血病,这两种化学物质已被IARC确认为对人类有致癌危害的1类化学物质。
我国职业卫生领域对有机溶剂的研究开展较早,于5O年代初就进行了有关苯等有机溶剂的研究,并在同期参照前苏联的劳动卫生标准,结合我国的实际情况,于1956年颁布了《工业企业设计暂行卫生标准》。在当时生产技术工艺较为落后的情况下,它对降低生产场所中有机溶剂的污染水平、预防或控制有机溶剂对作业人群的危害起到了积极作用。随后在职业卫生研究领域对有机溶剂的研究,无论是有机溶剂的种类,还是研究的数量,都有大幅度的增加。通过对原有职业卫生标准执行情况的分析、评价,以及对有机溶剂毒作用机制研究的深化,对有机溶剂的卫生标准重新进行了修订。目前《中华人民共和国国家职业卫生标准》(GBZ 2-2002)“工作场所有害因素职业接触限值”中对车间有机溶剂浓度进行了详细规定,部分有机溶剂工作场所控制标准见表1。《大气污染物综合排放标准》(GB 16297-1996)中新污染源部分有机溶剂气体排放标准见表2。
附表见:



